www.artofcode.info

The beauty of coding!

Types of waits in Selenium Java
Software Engineering

Types of waits in Selenium Java

In Selenium, waits are mechanisms that allow you to control the timing of interactions with web elements during test execution. Waits are used to sync...

Author Avatar steti 07 Feb 2024
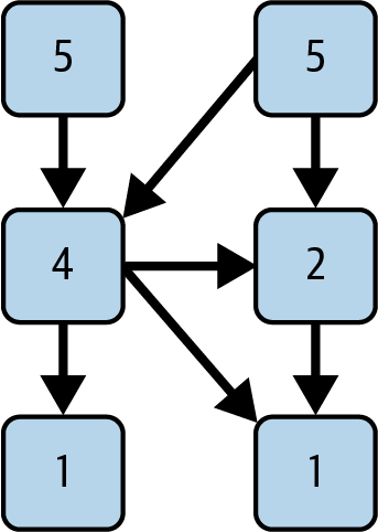
How to calculate Average component dependency (ACD)
Software Engineering

How to calculate Average component dependency (ACD)

In the ever-evolving world of software development, we’re often swept up in the latest trends and innovations. Lately, it seems like every developer i...

Author Avatar steti 26 Oct 2023
What is Selenium Manager?
Software Engineering

What is Selenium Manager?

Today, I’m going to talk to you about a very important topic, which has to do with how to manage browser drivers within Selenium. Millions of years ag...

Author Avatar steti 22 Sep 2023
Selenium stops supporting Java 8
Software Engineering

Selenium stops supporting Java 8

Hey all so as many of you know Selenium will stop supporting Java 8 starting on September 30, 2023. This means that we’re very near to this actually t...

Author Avatar steti 03 Sep 2023
Sample API Testing Framework (ATF)
Software Engineering

Sample API Testing Framework (ATF)

In the following post, I wanna share with you a simple solution that will cover all your needs in the process of testing a microservice on the compone...

Author Avatar steti 07 Jul 2023
An overview of Accelerate: Building and Scaling High-Performance Technology Organizations
Software Engineering

An overview of Accelerate: Building and Scaling High-Performance Technology Organizations

This post is a summary of a book I recently read called Accelerate: Building and Scaling High-Performance Technology Organizations. This is not my usu...

Author Avatar steti 08 Feb 2023
Cucumber JUnit XML report with logs
Software Engineering

Cucumber JUnit XML report with logs

In the previous post, tutorial, I explained the solution of how to add logs for the cucumber JSON report. In the current post, I will try to make an e...

Author Avatar steti 19 Jul 2022
Factory Method Pattern in the creation of Selenium WebDriver
Software Engineering

Factory Method Pattern in the creation of Selenium WebDriver

As software engineer, We all face some errors/exceptions while writing code! So what do we do when we face such a problem? If we are not sur...

Author Avatar steti 15 Nov 2021
How to send different values in cucumber features based on profile
Software Engineering

How to send different values in cucumber features based on profile

First of all, I want to mention that this post continues the previous one where we have added AOP to execute some additional logic on cucumber steps....

Author Avatar steti 02 Aug 2021
How to log execution time for cucumber steps
Software Engineering

How to log execution time for cucumber steps

Hi folks , this post is more a continuation of Cucumber 6 Spring Integration, in case you didn’t read Cucumber integration post, please do for better...

Author Avatar steti 25 Mar 2021
Strategy Pattern in Test Automation with Selenium WebDriver
Software Engineering

Strategy Pattern in Test Automation with Selenium WebDriver

As a software engineer, We all face some errors/exceptions while writing code! So what do we do when we face such a problem? If we are not s...

Author Avatar steti 08 Dec 2020
Spring Security with JWT token
Software Engineering

Spring Security with JWT token

Today I will show you how to make your REST APIs secure and authenticate requests using Spring Security JWT (Json Web Token).Today, JWT is one of the...

Author Avatar steti 12 Nov 2020